美丽心情简谱_本多Ruru_我在早春清新的阳光里,聆听着美丽心情

简谱相关内容:美丽心情 美丽

美丽心情简谱_本多Ruru_我在早春清新的阳光里,聆听着美丽心情

美丽心情 - 本多Ruru

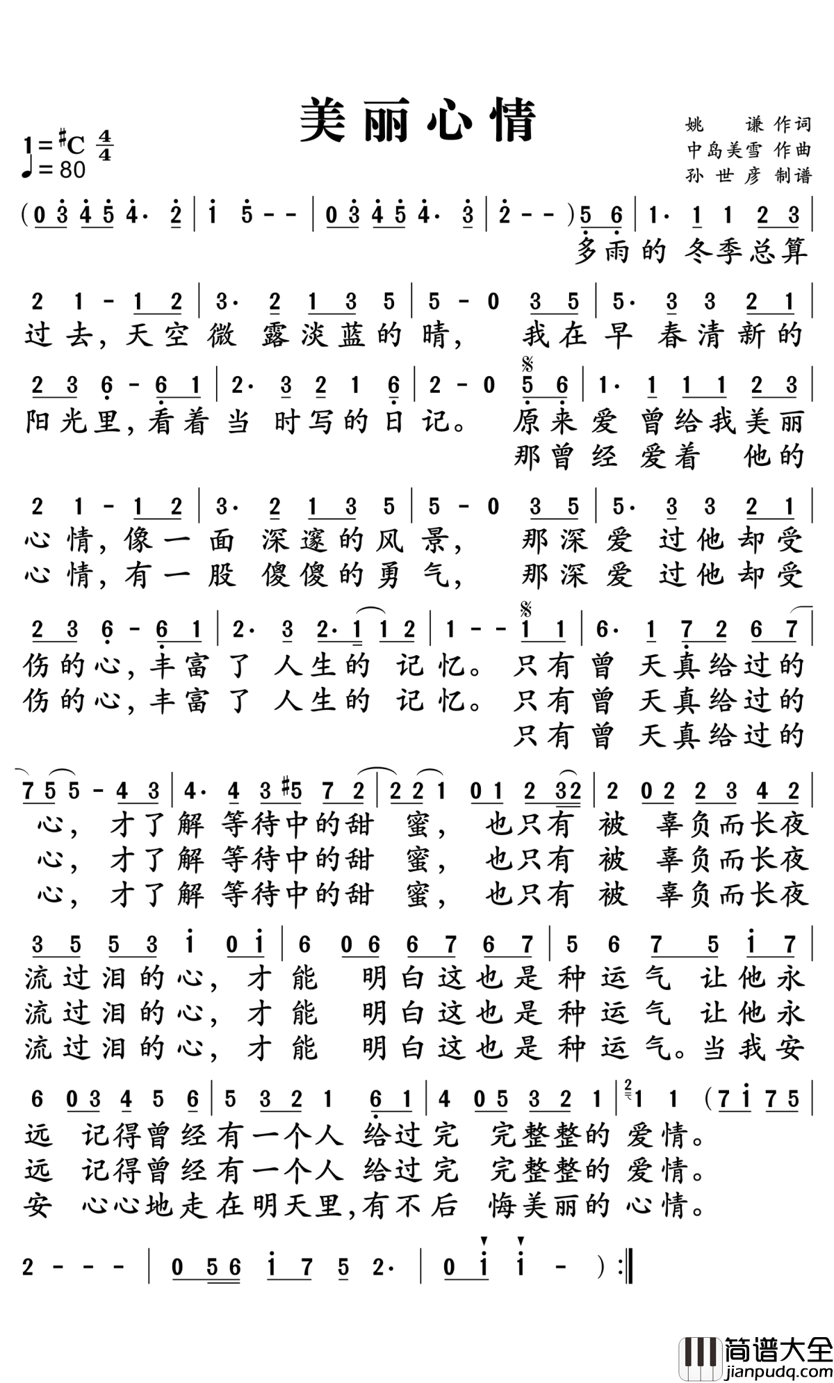
词:姚谦

曲:中岛美雪

多雨的冬季总算过去

天空微露淡蓝的晴

我在早春清新的阳光里

看着当时写的日记

原来爱曾给我美丽心情

像一面深遂的风景

那深爱过他却受伤的心

丰富了人生的记忆

只有曾天真给过的心

才了解等待中的甜蜜

也只有被辜负而长夜流过泪的心

才能明白这也是种运气

让他永远记得曾经有一个人

给过完完整整的爱情

那曾经爱着他的心情

有一股傻傻的勇气

那深爱过他却受伤的心

丰富了人生的记忆

只有曾天真给过的心

才了解等待中的甜蜜

也只有被辜负而长夜流过泪的心

才能明白这也是种运气

让他永远记得曾经有一个人

给过完完整整的爱情

只有曾天真给过的心

才了解等待中的甜蜜

也只有被辜负而长夜流过泪的心

才能明白这也是种运气

当我安安心心的走在明天里

有不后悔美丽的心情

  坐在春天的阳光里,用思念的泪珠串成想你的风铃,淡淡的忧伤里,有着一种感激,感激你给予我的所有美丽,爱过才知道等待的甜蜜。

美丽心情简谱_本多Ruru_我在早春清新的阳光里,聆听着美丽心情

  坐在阳光里,请允许我再次的想你,然后,轻轻地将你放飞。哦,亲爱的,你是我今生最美的风景。放开你的手,我将不再哭泣,带上这样的一种美丽心情,让人生的旅途洒满幸福与甜蜜!

美丽心情简谱_本多Ruru_我在早春清新的阳光里,聆听着美丽心情

  脑海里浮现《美丽心情》的歌曲,熟悉的旋律已不记得在哪里听过,虽然季节和内容都有些错位,但“只有不后悔去做,明天才有美丽心情”。每个人都有自己的心情故事,无论处于人生的哪个阶段,寻找属于你的共鸣吧……

美丽心情简谱_本多Ruru_我在早春清新的阳光里,聆听着美丽心情

  多雨的季节总算过去,天空微露淡蓝的晴,我在早春清新的阳光里,聆听着美丽心情。


免责申明

本文仅代表作者观点,不代表简谱大全网的观点和立场。
简谱大全网仅提供信息存储空间服务,如有侵权,请联系我们删除!

分享:

扫一扫在手机阅读、分享本文

评论

留言与评论(共有 0 条评论)
   
验证码:

热门信息