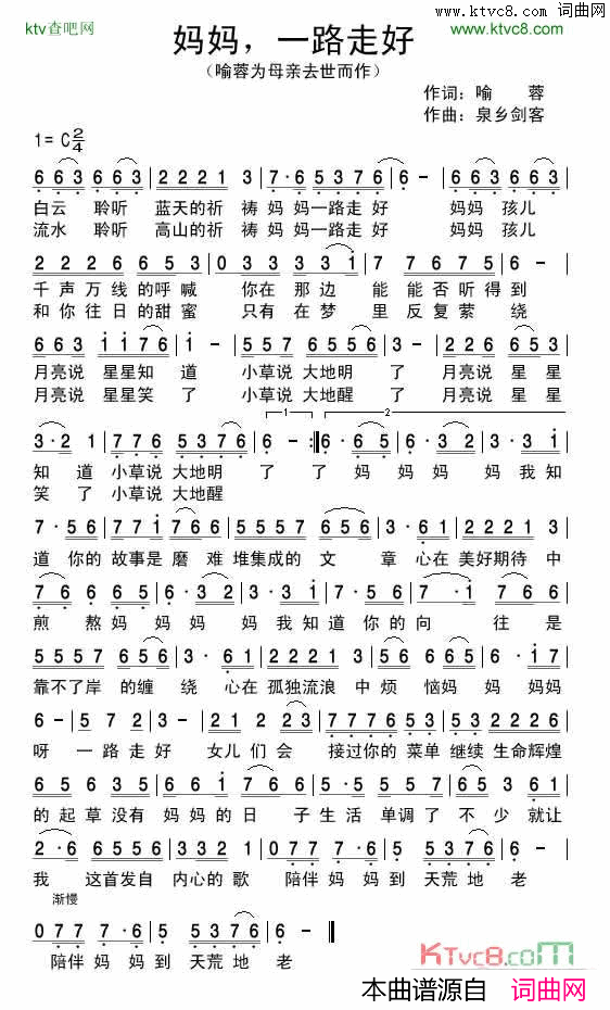
妈妈,一路走好简谱_喻蓉演唱

简谱 相关内容: 简谱  

妈妈,一路走好简谱_喻蓉演唱

免责申明

本文仅代表作者观点,不代表简谱大全网的观点和立场。
简谱大全网仅提供信息存储空间服务,如有侵权,请联系我们删除!

分享:

扫一扫在手机阅读、分享本文

评论

评论功能暂未开放